بالاسماء .. مدعوون لحضور امتحان المعلمين الجدد في التربية

بالاسماء .. مدعوون لحضور امتحان المعلمين الجدد في التربية
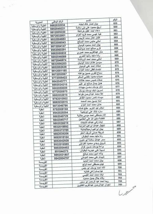
أخبار البلد -   أخبار البلد - دعت وزارة التربية والتعليم عددا من المعلمين الجدد الذين حققوا المتطلبات المطلوبة للتعيين، حضور الامتحان المقرر عقده في مراكز الامتحانات التابعة لكل مديرية تربية على حدة.
 

شريط الأخبار طارق خوري يكتب عن حديث بعض النواب السابقين عن قضايا وملفات فساد وزارة التعليم العالي: صدور أسس امتحان تجسير البرنامج العادي في الجامعات الرسمية اقتحام وتدنيس قبل "أخطر جمعة".. ماذا يجري في المسجد الأقصى؟ إليكم البرامج المعتمدة في المسار المهني والتقني العام المقبل وزارة الصناعة ونقابة المقاولين تبحثان ملف التعويضات واستدامة المشاريع الإنشائية قادما من تركيا.. إسرائيل تستنفر بحريتها لمواجهة "أسطول الصمود" ما هي منصة "فريدومز" أول موقع تواصل اجتماعي أردني؟ أكثر من 2.47 مليون أسرة في الأردن بنهاية 2025 لرفعه علم فلسطين.. وزير الدفاع الإسرائيلي يهاجم لامين جمال ويتقدم بطلب لنادي برشلونة إلقاء القبض على مطلوب خطر ومسلح عضو عصابة إقليمية الأمن يحذر من تدني مدى الرؤية بسبب الغبار في المناطق الصحراوية الجمعة بحث تسهيل النقل الى المدن الصناعية والمناطق التنموية لتعزيز تشغيل الأردنيين وتنمية أسواق المحافظات بعد 90 يوما.. اعتماد اسم وزارة التربية والتعليم وتنمية الموارد البشرية رسميا جمعية التدقيق الداخلي الأردنية تعلن عن الملتقى الأردني للتدقيق الداخلي 2026 في عمّان نقابة المقاولين على صفيح ساخن .. والدويري ينفي ويوضح تسميم أجواء الأردن بالمكاشفة أم تطهيرها ايهما أراد العماوي توصيله؟ 14.6 مليون حجم التداول في بورصة عمان البدور "في مستشفى حمزة": إعادة توزيع عيادات الاختصاص وتخفيف الضغط على الصيدلية والمختبر لجنة تأديبية تتبع وزارة هامة تخالف الأنظمة وتستبدل قرار التحويل الى المجلس التأديبي بتوصية عقوبة التنبيه فهل تكشف هيئة النزاهة ومكافحة الفساد المستور؟. الكشف عن سبب حالات التسمم في (مدارس اليرموك النموذجية)